Vydělejte na akciích firem s velkou expozicí na mladých trzích, radí Citigroup

Rychle rostoucí mladé trhy byly zajímavou příležitostí v době krize. Byly totiž odolnější vůči poklesům než trhy vyspělé. Podle Citigroup jsou nyní opět v čele zotavení světové ekonomiky a měly by růst rychleji i během ekonomické expanze. Citigroup proto radí navýšit zastoupení rychle rostoucích ekonomik v investičních portfoliích.
Mladé trhy mají podle Citigroup růst rychleji než vyspělé trhy i v dalším období. Na některé investory ovšem působí rizikověji.
Navíc investice komplikuje nutnost sledování geograficky vzdálených trhů, k nimž se hůře shánějí relevantní informace.
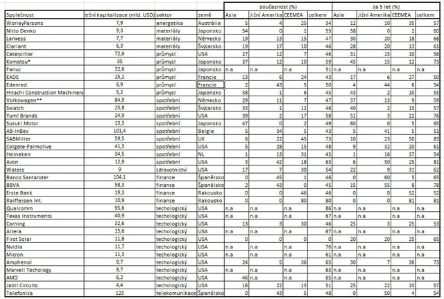
Citigroup proto nabízí zajímavou alternativu. Sestavila seznam 36 firem, které již nyní čerpají značnou část svých tržeb z mladých ekonomik. Podíl těchto tržeb by měl během pěti let dosáhnout alespoň 50 procent.
Dalšími podmínkami pro zařazení byly také minimální tržní kapitalizace 4 miliardy dolarů a investiční doporučení nejhůře na stupni "držet". Kvůli vysoké volatilitě nejsou v seznamu zahrnuty firmy z komoditního sektoru.
Zdroj: Citigroup
Aktualita pro rok 2026
Aktuality












